ページの先頭です。 メニューを飛ばして本文へ
現在地 トップページ > 組織でさがす > 富岡町役場 > 住民課 > 県内外の避難・居住先別人数【令和2年10月1日現在】

本文

県内外の避難・居住先別人数【令和2年10月1日現在】

更新日:2020年10月6日更新 印刷ページ表示

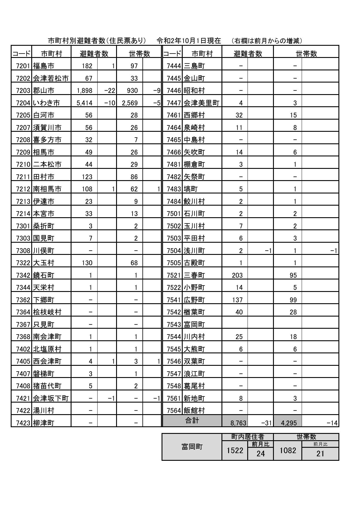
現在富岡町に住民登録されている方の避難先別人数および町内居住者数になります。

  • 震災後の転入者も含みます。
  • 町内居住者数は下記表市町村別の枠外に記載されています。

市町村別避難者数(住民票あり)令和2年10月1日現在

市町村別避難者数(住民票あり)令和2年10月1日現在

市町村別避難者数(住民票あり)令和2年10月1日現在[PDFファイル/124KB]

都道府県別避難者数(住民票あり)令和2年10月1日現在

都道府県別避難者数(住民票あり)令和2年10月1日現在

都道府県別避難者数(住民票あり)令和2年10月1日現在[PDFファイル/115KB]

Adobe Reader<外部リンク>
PDF形式のファイルをご覧いただく場合には、Adobe社が提供するAdobe Readerが必要です。
Adobe Readerをお持ちでない方は、バナーのリンク先からダウンロードしてください。(無料)